Beranda
/ Rumus Sigma I Kuadrat - Contoh Soal Notasi Sigma Ekuivalen Kumpulan Contoh Surat Dan Soal Terlengkap : Lambang notasi sigma merupakan huruf besar yunani yang berasal dari kata asing sum yang artinya jumlah.
Rumus Sigma I Kuadrat - Contoh Soal Notasi Sigma Ekuivalen Kumpulan Contoh Surat Dan Soal Terlengkap : Lambang notasi sigma merupakan huruf besar yunani yang berasal dari kata asing sum yang artinya jumlah.
Rumus Sigma I Kuadrat - Contoh Soal Notasi Sigma Ekuivalen Kumpulan Contoh Surat Dan Soal Terlengkap : Lambang notasi sigma merupakan huruf besar yunani yang berasal dari kata asing sum yang artinya jumlah.. Bentuk umum dari persamaan kuadrat atau pk adalah sebagai berikut: Misalkan penjumlahan 1 2 + 2 2 + 3 2 + 4 2 + 5 2 + 6 2 = 91. Contoh pendekatan kuadrat terkecil yang paling sederhana adalah pencocokan garis lurus terhadap sebuah himpunan pasangan pengamatan (x 1 , y 1 ), (x 2 , y 2 )… (x n , y n Ax2 +bx + c = 0. Rumus umum untuk notasi sigma.
Video ini merupakan kelanjutan dari video pembahasan barisan dan deret (aritmatika dan geometri). Lambang notasi sigma merupakan huruf besar yunani yang berasal dari kata asing sum yang artinya jumlah. Kajian multivariat anova pada rancangan acak lengkap 6 ri = banyaknya ulangan. Penjumlahan tersebut bisa disingkat menjadi: Misalkan penjumlahan 1 2 + 2 2 + 3 2 + 4 2 + 5 2 + 6 2 = 91.
Notasi Sigma Dan Sifat Sifatnya Konsep Matematika Koma from 4.bp.blogspot.com Ax2 +bx + c = 0. Σy2 = jumlah kuadrat dalam skor distribusi y. Maaf, supaya jgn menyesatkan tolong dibedakan pemaknaan sigma dan sigma kuadrat. Dalam pembentukan rumus standar deviasi didasarkan pada rumus variansi. Koding semua data hasil kuesioner. Menghitung jumlah deret menggunakan notasi sigma, materi ini erat hubungannya dengan pola bilangn aritmatika geometri dan induksi matematika. January 23, 2019 at 2:25 pm. Meskipun rumus seperti itu tidak selalu ada, banyak rumus penjumlahan telah ditemukan.
Cara menghitung rumus peluang dalam matematika.
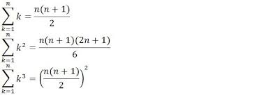
Itu rumus khi kuadrat, \(n\) adalah jumlah data, \(s\) adalah standar deviasi sampel 0,95 dan \(\sigma\) adalah standar deviasi populasi arau dalam soal 5 tahun yang lalu sama dengan 1. Notasi sigma yang ditulis dengan lambang σ adalah sebuah tanda yang digunakan untuk menuliskan suatu penjumlahan secara singkat. Jadi, deret ini termasukderet geometri dengan suku awal a = 2 dan rasio r = 2. Karena r = 2 > 1, kita gunakan rumus berikut.1)1(−−=rrasnn12)12(2 66−−=s1)164(2 −== 126 5. Rumus simpangan baku atau yang disebut dengan standar deviasi merupakan salah satu teknik statistik yang digunakan untuk menjelaskan homogenitas dari sebuah kelompok. Hasil persamaan dari deret kuadrat = n (n+1)(2n+1) dan untuk kubik =( (n+1)) 2. Dalam rumus matematika bisa disebut rumus sigma ∑ (x 2 +y 2). 2 bentuk umum dari notasi sigma. Cara menghitung rumus peluang dalam matematika. Sekarang coba rubah rumus pada c2 menjadi product. Meskipun rumus seperti itu tidak selalu ada, banyak rumus penjumlahan telah ditemukan. Ax2 +bx + c = 0. Di pembahasan sebelumnya kita telah membahas tentang fungsi kuadrat.yuk simak langsung mengenai rumus abc beserta ulasan lengkapnya di bawah ini.
Lambang notasi sigma merupakan huruf besar yunani yang berasal dari kata asing sum yang artinya jumlah. Hanya saja pada nilai k diganti k 2 dan k 3. Rumus simpangan baku atau yang disebut dengan standar deviasi merupakan salah satu teknik statistik yang digunakan untuk menjelaskan homogenitas dari sebuah kelompok. Loncat ke navigasi loncat ke pencarian. Kriteria/standar rumus atau formula yang digunakan untuk menghitung hubungan tersebut menggunakan rumus korelasi product moment, baik dengan simpangan maupun dengan angka kasar.
Notasi Sigma Dan Product from jagostat.com Maaf, supaya jgn menyesatkan tolong dibedakan pemaknaan sigma dan sigma kuadrat. Ax2 +bx + c = 0. Selanjutnya, gunakan rumus jumlah khusus yang sudah dibuktikan sebelumnya, yaitu $\sum \limits_{i=1}^n i = \frac{n(n+1)}{2}$. Fungsi kuadrat dengan akar x = 1 dan x = 4. Notasinya sama untuk deret kuadrat maupun kubik. Contoh pendekatan kuadrat terkecil yang paling sederhana adalah pencocokan garis lurus terhadap sebuah himpunan pasangan pengamatan (x 1 , y 1 ), (x 2 , y 2 )… (x n , y n Dalam ilmu matematika dan statistik, notasi sigma digunakan untuk mempersingkat suatu urutan penjumlahan. Kajian multivariat anova pada rancangan acak lengkap 6 ri = banyaknya ulangan.
Cari nilai (∑x)2 yaitu dengan mempangkatkan dua dari nilai ∑x.
Hanya saja pada nilai k diganti k 2 dan k 3. Notasi sigma yang ditulis dengan lambang σ adalah sebuah tanda yang digunakan untuk menuliskan suatu penjumlahan secara singkat. Cara menghitung rumus peluang dalam matematika. Dalam pembentukan rumus standar deviasi didasarkan pada rumus variansi. Persamaan kuadrat adalah salah satu persamaan matematika dari variabel yang mempunyai pangkat tertinggi dua. Penjumlahan tersebut bisa disingkat menjadi: Sebab, standar deviasi adalah akar kuadrat dari variansi. Dlm rumus ci yg digunakan adalah sigma yg berarti standar deviasi populasi bukan ragam populasi atau sigma kuadrat. January 23, 2019 at 2:25 pm. Sumx2py2 = ∑ (x 2 +y 2) sintak penulisan rumusnya yaitu : Yang secara sederhana dapat dihitung dengan menggunakan rumus abc persamaan kuadrat. Dalam matematika, penjumlahan banyak bilangan pada deret biasanya dituliskan dalam notasi sigma. Cari nilai (∑x)2 yaitu dengan mempangkatkan dua dari nilai ∑x.
Dalam rumus matematika bisa disebut rumus sigma ∑ (x 2 +y 2). Lambang notasi sigma merupakan huruf besar yunani yang berasal dari kata asing sum yang artinya jumlah. Persamaan kuadrat adalah salah satu persamaan matematika dari variabel yang mempunyai pangkat tertinggi dua. Nilai ini menentukan apakah persamaan parabola memiliki titik potong pada sumbu x. January 23, 2019 at 2:25 pm.
Pengertian Notasi Sigma Contoh Soal Dan Pembahasannya Statmat Net from www.statmat.net Σy2 = jumlah kuadrat dalam skor distribusi y. Dengan x merupakan variabel, a, b merupakan koefisien, dan c merupakan konstanta. Cara menghitung rumus peluang dalam matematika. , (jumlah kuadrat pertama, lihat bilangan piramidal persegi) = = (=) = ((+)) = + +, (teorema nicomachus). Notasi sigma yang ditulis dengan lambang σ adalah sebuah tanda yang digunakan untuk menuliskan suatu penjumlahan secara singkat. Daftar isi hide 1 pengertian notasi sigma. Dalam pembentukan rumus standar deviasi didasarkan pada rumus variansi. January 23, 2019 at 2:25 pm.
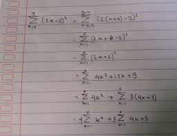
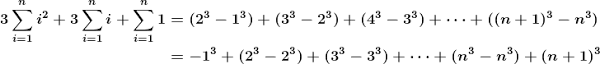
Gunakan sifat kelinearan sigma pada ruas kiri, kemudian uraikan ruas kanan berdasarkan definisi sigma.
Dlm rumus ci yg digunakan adalah sigma yg berarti standar deviasi populasi bukan ragam populasi atau sigma kuadrat. Materi notasi sigma memang rasanya tidak begitu menguras otak sehingga kita dapat dengan cepat mempelajarinya. Lambang notasi sigma merupakan huruf besar yunani yang berasal dari kata asing sum yang artinya jumlah. Dalam mencari variansi, selisih dari tiap elemen data dengan mean data dihitung. Sumx2py2 = ∑ (x 2 +y 2) sintak penulisan rumusnya yaitu : Dari wikipedia bahasa indonesia, ensiklopedia bebas. Jadi rumus excel sumx2my2 yaitu digunakan untuk menghitung selisih pengurangan dari jumlah kuadrat dari data data x dan jumlah kuadrat dari data data y. Nilai ini menentukan apakah persamaan parabola memiliki titik potong pada sumbu x. Dalam rumus matematika bisa disebut rumus sigma ∑ (x 2 +y 2). Loncat ke navigasi loncat ke pencarian. Bentuk umum dari persamaan kuadrat atau pk adalah sebagai berikut: 2 bentuk umum dari notasi sigma. Sebab, standar deviasi adalah akar kuadrat dari variansi.
Berbagi
Posting Komentar
untuk "Rumus Sigma I Kuadrat - Contoh Soal Notasi Sigma Ekuivalen Kumpulan Contoh Surat Dan Soal Terlengkap : Lambang notasi sigma merupakan huruf besar yunani yang berasal dari kata asing sum yang artinya jumlah."
Posting Komentar untuk "Rumus Sigma I Kuadrat - Contoh Soal Notasi Sigma Ekuivalen Kumpulan Contoh Surat Dan Soal Terlengkap : Lambang notasi sigma merupakan huruf besar yunani yang berasal dari kata asing sum yang artinya jumlah."